El rendimiento en la escalada depende de infinitos factores, lo que hace que sea muy difícil establecer un solo parámetro que explique qué nos hace progresar o caer una y otra vez en el mismo movimiento. Por suerte, tenemos algunas pistas y una de ellas es que, en el ámbito físico, la fuerza de dedos es un factor decisivo en nuestro rendimiento y eso nos ayuda a establecer metodologías en el control y la dosificación de la carga de entrenamiento. Vamos a ello.
En el afán por cuantificar la carga física que supone escalar, las primeras propuestas para la estimación de la fuerza dedos pasaron por el uso de la dinamométrica de mano, el handgrip, aunque muy útil en algunos aspectos, esta propuesta presenta limitaciones importantes para los escaladores, hagamos un repaso por las principales propuestas, sus pros y sus contras… En sucesivas entradas seguiremos la cronología de las principales ideas sugeridas en la literatura científica en cuanto a qué método utilizar con el fin de controlar la fatiga en la escalada. Acabaremos explicando el primer estudio llevado a cabo en en Sputnik Investigación respecto al tema, así como propuestas prácticas llevadas a cabo con el Equipo Sputnik de forma experimental.
El boom de la escalada
La escalada ha sido uno de los deportes que más ha avanzado en los últimos años: cada vez más personas adeptas, más y mejores instalaciones y materiales, nuevos estudios, conocimientos, formaciones oficiales y extraoficiales, centros de entrenamiento y profesionales de diferentes áreas trabajando en la escalada y a través de ella. Toda una revolución del deporte la que estamos viviendo. Hay algo que me llama la atención en esta evolución y es la gran diversidad de modalidades y formas de entenderla y, por lo tanto, de practicar y de vivir la escalada.
La disciplina que más ha evolucionado, y que está más en auge, es el indoor, una modalidad que ya se concibe muchas veces como un fin en sí mismo. Escalar en rocódromo ya no es exclusivamente una mera preparación para mejorar el rendimiento en roca (aunque también): hay muchas personas cuyo objetivo principal es mejorar su rendimiento escalando exclusivamente en rocódromos, y es que esta ramificación de la escalada, no excluyente del resto, ha propiciado un claro incremento de quienes buscan mejorar su nivel, ya sea con el fin de expresarlo en la roca o en el rocódromo. Fíjate que me estoy centrando en un colectivo concreto de practicantes que buscan la mejora del rendimiento. Es decir, solo en una de las razones de escalar y en una pequeña muestra del colectivo escalador, que también se caracteriza por la búsqueda de salud, ocio, vida social, formación, educación, etcétera.

Rendimiento multifactorial
En este caso hablaremos sobre la mejora del rendimiento deportivo, entendiendo rendimiento como la segunda concepción propuesta en la RAE: “Proporción entre el producto o el resultado obtenido y los medios utilizados”. Para su mejora nos decidimos a entrenar, es decir, nos embarcamos en un “proceso de adaptación en el que existe una relación entre los estímulos de entrenamiento y los efectos estructurales y funcionales deseados, aplicando los medios y métodos, con el objetivo de mejorar el rendimiento deportivo”.
Este proceso de entrenamiento se comporta como un sistema de “caja negra”, en el que se puede conocer el input de entrada, en este caso carga de entrenamiento prescrita (bloque, resistencia a alta intensidad, resistencia aeróbica, fuerza de dedos dirigida con suspensiones…) y prever el output de salida, mejora del rendimiento deportivo (mayor fuerza de agarre, mejor capacidad aeróbica local, mayor comprensión lectora en vías…), aunque es imposible anticipar el resultado exacto, pues desconocemos el sistema autorregulador del deportista que realiza el entrenamiento. He aquí, una de las principales problemáticas a las que se enfrenta la metodología de entrenamiento: el control y la dosificación de la carga de entrenamiento.

Como ya sabemos, el rendimiento en la escalada es multifactorial. Resulta imposible establecer un solo parámetro que lo explique por sí mismo, tampoco es nada sencillo escoger unos pocos indicadores que lo definan, siempre habrá alguno/os más limitantes para cada individuo y contexto concreto. Pero para sintetizar, y perdona por seguir insistiendo en el ejercicio de reduccionismo de la concepción de la escalada, podemos decir que, en el ámbito físico, la fuerza de los dedos es el factor principal a la hora de explicar el rendimiento en la escalada (Baláš et al., 2012; Schweizer & Furrer, 2007; Stien et al., 2021). Por esta razón se han estudiado tanto los dedos en escalada, la fuerza en todas sus manifestaciones (Levernier & Laffaye, 2019; Quaine & Vigouroux, 2004), la biomecánica (Paper & Ar, 2016), la fisiología (Jiří et al., 2024; Macleod et al., 2007) y las lesiones (Schöffl et al., 2006, 2020). Y como son los flexores de los dedos los principales motores de la escalada, a través de su monitorización y evaluación los entrenadores y entrenadoras intentamos responder a la principal problemática planteada en cualquier sistema de entrenamiento: el control y la dosificación de la carga de entrenamiento.
Si el objetivo es medir de forma sencilla, rápida y práctica la fuerza de los dedos, el primer paso en esta línea parecía bastante claro y prometedor, más aún si hacemos un ejercicio de empatizar con los y las primeras científicas que intentaban dar respuesta a este problema allá por los años 90.
El handgrip, las primeras propuestas aplicadas a la escalada
En 1996, Watts, Newbury y Sulentic, investigadores pioneros en el rendimiento en la escalada deportiva, publicaron un trabajo en el que observaron en once sujetos que, tras realizar series hasta caer en una vía de 7a+, la fuerza de agarre medida con un dinamómetro tipo handgrip disminuía en torno a un 22%, e incluso se mantenía deprimida durante los 20 minutos posteriores al esfuerzo. Unos años más tarde, el mismo Watts junto con otros compañeros (2000) publicaron un estudio en el que utilizaban la misma técnica de handgrip para medir la fuerza de agarre tras escalar una vía de aproximadamente 7b. En esta ocasión solo detectaron pérdida de fuerza significativa en un solo grupo de los dos que establecieron, y esta pérdida de fuerza apenas duraba diez minutos postesfuerzo.
Estas diferencias en los resultados obtenidos por el mismo autor con un dinamómetro tipo handgrip (que se repitieron en otros estudios que tenían el objetivo clasificar a los escaladores y escaladoras en función de su experiencia y nivel –Watts, 2004; Watts et al., 1993)–, y también en publicaciones coetáneas), llevaron a Watts et al., (2008) a estudiar la especificidad de medir la fuerza de agarre a través del handgrip en la escalada.
Para ello se propuso medir la señal eléctrica con la que se activan los músculos flexores de los dedos mediante electromiografía de superficie en dos tareas, primero en una contracción máxima en handgrip y, después, escalando en movimientos ascendentes y descendentes sobre distintos tipos de agarres en un muro a 45° de inclinación. Aunque el estudio solo se llevó a cabo con cinco escaladores experimentados, los resultados mostraron que la activación eléctrica de todos fue mucho menor en la contracción máxima en handgrip que en cualquiera de los agarres con los que se escaló (pinzas, bidedos y regletas grandes agarradas en semirqueo o extensión). Realizar una contracción máxima en handgrip produjo un 62% de la señal eléctrica media registrada en los agarres más usados en la escalada.
Algunos estudios interesantes
Tras estos estudios, el handgrip se continuo utilizando como como herramienta para describir la fuerza de agarre en la escalada, especialmente cuando se comparaba intersujetos este valor de forma relativa al peso corporal del individuo, es decir, cuando se dividia el valor la fuerza obtenida en la flexión de dedos que se puede aplicar a un handgrip entre el peso corporal de individuo, kg de fuerza en handgrip entre kg de peso (España-Romero et al., 2009), pero no se indagó mucho más sobre su utilidad, o no, como herramienta para valorar la fatiga. Pocos fueron los trabajos que utilizaron el handgrip como medio para entender lo que ocurre en la “caja negra” del sistema de entrenamiento a través de la pérdida de fuerza tras la realización de un esfuerzo físico, veamos algunos de ellos.
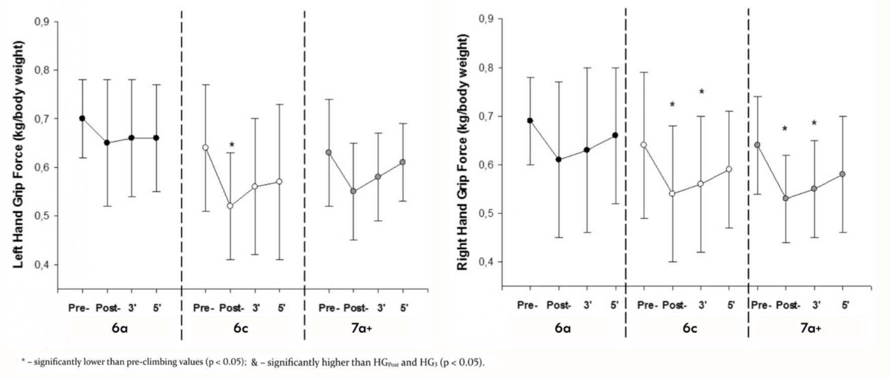
Solo dos estudios han evaluado la evolución de la fuerza en handgrip en competiciones reales de escalada de dificultad. En 2009 (Gajewski et al.) encontraron diferencias significativas entre la fuerza ejercida antes de empezar a escalar y un minuto después de escalar una vía de 7a con 21 escaladores, en concreto de media la fuerza disminuyó entorno al 10%. De forma similar, aunque unos años más tarde, (Caglar-Bildircin, 2021) siguió la evolución de la fuerza aplicada en handgrip previa y posterior a escalar tres vías (6a, 6c y 7a+) de 12,5 metros de altura en treinta escaladores. Los resultados también fueron positivos en las dos vías más difíciles, estableciendo una relación entre el esfuerzo y la pérdida de fuerza aplicada en handgrip a los 3 minutos siguientes.

Aunque no en un entorno competitivo, los estudios posteriores que han indagado en la cuantificación de la pérdida de fuerza de agarre en handgrip tras realizar esfuerzos escalando han hallado relación en ambas variables.
En 2019 se publicó un estudio en el que se media la fuerza isométrica máxima de dedos a través de un handgrip genérico, en un grupo de 23 escaladores y escaladoras con baja experiencia en el deporte a los que se exponía a escalar de forma continua durante 2 minutos. Se midió la fuerza de dedos antes y después de la escalada en repetidas ocasiones con una frecuencia de un minuto. Los resultados mostraron como, de media, la fuerza de dedos disminuyó en un 29% tras el esfuerzo realizado, el cual fue percibido y calificado con 14 puntos sobre una escala de Borg típica puntuable entre un mínimo de 6 (mínimo esfuerzo) y un máximo de 20 (máximo esfuerzo). El valor de fuerza permaneció deprimido durante los 10 minutos de recuperación post-esfuerzo (Matsouka et al., 2019). También este mismo año MacDonald et al. (2019) pusieron en práctica la medición de la fuerza de agarre con un handgrip tras realizar entorno a 15 repeticiones a una vía durante 30 minutos de esfuerzo, registraron la fuerza tras cada pegue obteniendo una pérdida de fuerza progresiva a la que se iban acumulando intentos a la vía, primero un 11,8%, luego 17,5%, un 19,7% casi al final de los pegues y una pérdida de fuerza del 22,1% al final del tiempo de escalada. Eso sí, de nuevo, los y las participantes en este estudio fueron deportistas con años de experiencia, pero de nivel bajo a medio-bajo.
Entonces, ¿en qué quedamos, es válido e interesante medir la fuerza de agarre con handgrip para intentar cuantificar la fatiga escalando?
Como habrás deducido, la metodología de medir la fuerza de dedos a través de un handgrip tiene algunos pros, pero bastantes contras. La realidad es que es una forma muy sencilla de evaluar la fuerza, el aparato de medición es simple, fácil de conseguir, barato y muy sencillo de utilizar, simplemente hay que ajustar la anchura del mismo a la mano, asegurarse de que se aplica fuerza con todas las ganas y tomar el valor de fuerza relativo al peso corporal (kg handgrip / kg peso corporal) ya sería un indicador útil. Este parámetro nos puede ayudar a categorizar a escaladores de no escaladores, o a escaladores de diferentes niveles entre sí, siempre y cuando los niveles que estamos evaluando vayan de bajos a medios. E incluso nos puede resultar útil y válido para cuantificar la fatiga generada o carga de entrenamiento interna a la que se expone al deportista, siempre y cuando sean escaladores de nivel bajo o no escaladores, ya que, en esta población, como hemos visto, los estudios parecen que sí encuentran diferencias en la medida.
Como principal contra tenemos el grado de especificidad del handgrip con la escalada, especialmente con la activación neuromuscular requerida para una contracción máxima en este dinamómetro o en una tarea específica de agarre escalando. Sin lugar a duda este hecho hace que el handgrip no sea una herramienta válida a la hora de valorar la fuerza de dedos en escaladores de nivel medio a élite ya que “poco tiene que ver estrujar un handgrip con agarrarse a una regleta, un bidedo o cualquier romo”. Si ya para evaluar a esta población no nos resulta válido, ni que decir tiene que tampoco sea la herramienta más adecuada para registrar la pérdida de fuerza como un indicador a la hora de controlar y dosificar la carga de entrenamiento.
En próximos artículos veremos diferentes formas que se han aplicado para medir la fuerza de dedos y así poder abordar la problemática del control del entrenamiento en la escalada. Con la tecnología y los conocimientos de hoy en día puede ser más interesante medir de otra forma, con otros aparatos y sistemas, pero ya os adelanto, que, como todo en la vida, cada uno de ellos tiene sus pros y sus contras…y de momento, en la escalada, no tenemos la respuesta perfecta ante la problemática de cuantificar de forma objetiva la carga de entrenamiento.
Referencias
- Baláš, J., Pecha, O., Martin, A., & Cochrane, D. (2012). Hand-arm strength and endurance as predictors of climbing performance. European Journal of Sport Science, 12(1), 16–25. https://doi.org/10.1080/17461391.2010.546431
- Caglar-Bildircin, C. (2021). Investigation of Lactate, Heart Rate and Handgrip Force Responses of Climbers. Polish Journal of Sport and Tourism, 28(3), 14–19. https://doi.org/10.2478/pjst-2021-0015
- España-Romero, V., Ortega Porcel, F. B., Artero, E. G., Jiménez-Pavón, D., Gutiérrez Sainz, Á., Castillo Garzón, M. J., & Ruiz, J. R. (2009). Climbing time to exhaustion is a determinant of climbing performance in high-level sport climbers. European Journal of Applied Physiology, 107(5), 517–525. https://doi.org/10.1007/s00421-009-1155-x
- Ferrara, P. F., Becker, J., & Seifert, J. G. (2020). Advance rock climbing exhibit greater finger force and resistance to fatigue compared to novice during treadwall climbing. MedRxiv. https://doi.org/https://doi.org/10.1101/2020.04.27.20077560
- Gajewski, J., Hubner-Wozniak, E., Tomaszewski, P., & Sienkiewicz-Dianzenza, E. (2009). Changes in handgrip force and blood lactate as response to simulated climbing competition. Biology of Sport, 26(1), 13–21. https://doi.org/10.5604/20831862.890171
- González-Badillo, J. J., & Ribas-Serna, J. (2019). Fuerza, velocidad y rendimiento físico y deportivo (Diciembre). Librerias deportivas Estaban Sanz.
- Grant, S., Hasler, T., Davies, C., Aitchison, T. C., Wilson, J., & Whittaker, A. (2001). A comparison of the anthropometric, strength, endurance and flexibility characteristics of female elite and recreational climbers and non-climbers. Journal of Sports Sciences, 19(7), 499–505. https://doi.org/10.1080/026404101750238953
- Grant, S., Hynes, V., Whittaker, A., & Aitchison, T. (1996). Anthropometric, strength, endurance and flexibility characteristics of elite and recreational climbers. Journal of Sports Sciences, 14(4), 301–309. https://doi.org/10.1080/02640419608727715
- Jiří, B., Jan, G., Tomáš, J., Patrik, B., & Andri, F. (2024). Measuring critical force in sport climbers: a validation study of the 4 min all-out test on finger flexors. European Journal of Applied Physiology, 0123456789. https://doi.org/10.1007/s00421-024-05490-7
- Levernier, G., & Laffaye, G. (2019). Rate of force development and maximal force: reliability and difference between non-climbers , skilled and international climbers. Sports Biomechanics, 00(00), 1–22. https://doi.org/10.1080/14763141.2019.1584236
- MacDonald, G., Manning, J. W., Lee, S.-P., Aguilar, C., Bodell, N. G., Young, J., Schilling, B., & Navalta, J. W. (2019). Handgrip Fatigue and Forearm Girth in Intermediate Sport Rock Climbers. Medicine & Science in Sports & Exercise, 51(4), 922–922. https://doi.org/10.1249/01.mss.0000563260.26271.c7
- Macleod, D., Sutherland, D. L., Buntin, L., Whitaker, A., Aitchison, T., Watt, I., Bradley, J., & Grant, S. (2007). Physiological determinants of climbing-specific finger endurance and sport rock climbing performance. Journal of Sports Sciences, 25(12), 1433–1443. https://doi.org/10.1080/02640410600944550
- Matsouka, O., Nani, S., Papadimitriou, K., Astrapellos, K., Beneka, A., & Malliou, P. (2019). Time course changes in hand grip strength performance and hand position sense in climbing. Journal of Human Sport and Exercise, 15(1), 23–33. https://doi.org/10.14198/jhse.2020.151.03
- Paper, C., & Ar, S. (2016). Effect of Hold Sloper Angle and Hold Depth on Maximal Finger Force Capacity of Rock Climbers. August, 2–5.
- Quaine, F., & Vigouroux, L. (2004). Maximal resultant four fingertip force and fatigue of the extrinsic muscles of the hand in different sport climbing finger grips. International Journal of Sports Medicine, 25(8), 634–637. https://doi.org/10.1055/s-2004-821117
- Schöffl, V. R., Einwag, F., Strecker, W., & Schöffl, I. (2006). Strength measurement and clinical outcome after pulley ruptures in climbers. Medicine and Science in Sports and Exercise, 38(4), 637–643. https://doi.org/10.1249/01.mss.0000210199.87328.6a
- Schöffl, V. R., Schöffl, I., Frank, L., Kupper, T., Simon, M., & Lutter, C. (2020). Tendon Injuries in the Hands in Rock Climbers: Epidemiology, Anatomy, Biomechanics and Treatment An Update. Muscle Ligaments and Tendons Journal, 10(02), 233. https://doi.org/10.32098/mltj.02.2020.08
- Schweizer, A., & Furrer, M. (2007). Correlation of forearm strength and sport climbing performance. Isokinetics and Exercise Science, 15(3), 211–216. https://doi.org/10.1152/jn.00172.2003
- Stien, N., Vereide, V. A., Saeterbakken, A. H., Hermans, E., Shaw, M. P., & Andersen, V. (2021). Upper body rate of force development and maximal strength discriminates performance levels in sport climbing. PLoS ONE, 16(3), 1–13. https://doi.org/10.1371/journal.pone.0249353
- Watts, P. B. (2004). Physiology of difficult rock climbing. European Journal of Applied Physiology, 91(4), 361–372. https://doi.org/10.1007/s00421-003-1036-7
- Watts, P. B., Daggett, M., Gallagher, P., & Wilkins, B. (2000). Metabolic response during sport rock climbing and the effects of active versus passive recovery. International Journal of Sports Medicine, 21, 185–190.
- Watts, P. B., Jensen, R. L., Gannon, E., Kobeinia, R., Maynard, J., & Sansom, J. (2008). Forearm EMG during rock climbing differs from EMG during handgrip dynamometry. International Journal Exercise Science, 1(1), 4–13.
- Watts, P. B., Martin, D. T., & Durtschi, S. (1993). Anthropometric profiles of elite male and female competitive sport rock climbers. Journal of Sports Sciences, 11(2), 113–117. https://doi.org/10.1080/02640419308729974








